• 150 €

Tesi di laurea in ingegneria di Luca Chiesi sulle "reazioni nucleari a debole energia"

Libro cartaceo. 160 pagine. Ha come titolo "Stato dell'arte e applicazioni delle reazioni nucleari a debole energia: il controllo isotopico della qualità" e mostra 2 secoli di studi scientifici sulle "trasmutazioni", ufficialmente impossibili secondo la "scienza ufficiale", e alcune applicazioni esistenti. Il libro "La struttura nascosta del mondo" ne è la versione divulgativa.

Se ti interessa acquistare questo prodotto/servizio, o altri sul mio sito, compila il modulo cliccando sul bottone sottostante. Ti invierò tutte le informazioni necessarie. Grazie!

Tesi di laurea in Ingegneria (tesi di maggiore impegno), di Luca Chiesi, discussa nell'A.A. 2004-2005.
Relatore prof. Antonio DUMAS (professore ordinario di Fisica Tecnica Industriale).
Controrelatore prof. Olmes BISI (professore ordinario di Fisica e ricercatore dell’Istituto Nanoscienze del CNR). 

 

Contenuti

Le circa 160 pagine sono dedicate, in ordine, a:
  • una ricca analisi storica delle reazioni a debole energia, dalle prime curiosità osservate sui vegetali fin dal 1600 fino ai giorni nostri, concludendo la rassegna con alcune possibili spiegazioni teoriche di tali fenomeni;
  • una rassegna di alcune applicazioni già disponibili: controllo isotopico della qualità, smaltimento accelerato di sostanze radioattive, produzione industriale di elementi ed isotopi, agricoltura naturale;
  • una corposa appendice dedicata ad una analisi storico/critica dei modelli dell’atomo, dal 1897 ad oggi, con molte sorprese e avvincente come e più di un romanzo…
  • una straordinaria appendice relativa ad un nuovo modello dell’atomo, in grado di spiegare perfettamente le reazioni nucleari a debole energia già osservate (il nome di tale modello è “Modello Alpha Esteso dell’atomo” ed il suo ideatore è l’astrofisico Roberto A. Monti, del CNR di Bologna) e alla relativa nuova tavola periodica degli elementi.

Ti interessa ricevere gratuitamente una ricca sintesi (26 pagine) del contenuto della tesi e del libro?

L'indice della tesi

Sono presenti numerose immagini e tabelle riassuntive:

Il "Modello Alpha Esteso dell'Atomo"

 Ritengo che l’aspetto più importante in assoluto dell’intera tesi sia il lavoro di ricerca e sintesi che ho compiuto nell’appendice dedicata al NUOVO MODELLO DELL’ATOMO e alla relativa TAVOLA PERIODICA DEGLI ELEMENTI dell’astrofisico Roberto A. Monti.
Il materiale su questo straordinario modello dell’atomo era sparso in numerosi libri, pubblicazioni, articoli, ecc. ed era praticamente impossibile capire tutto il modello senza dover acquistare in blocco tutto questo (costoso!) materiale, che tra l’altro contiene inevitabili ripetizioni e refusi.
Con un po’ di… certosina pazienza ho condensato tutto in circa 45 pagine, scritte a corpo piccolo.
Eccone alcune pagine di esempio.
 -Fig. 1:  La tavola periodica degli elementi secondo il “Modello Alpha Esteso dell’atomo” 

1

- Fig. 2: La spiegazione di “perchè” e “come” si può estendere a tutti gli elementi della tavola periodica il vecchio “modello a particelle alpha”, suggerito dalla stereochimica e molto promettente ai suoi esordi, valido però (apparentemente!) solo fino al Calcio

2

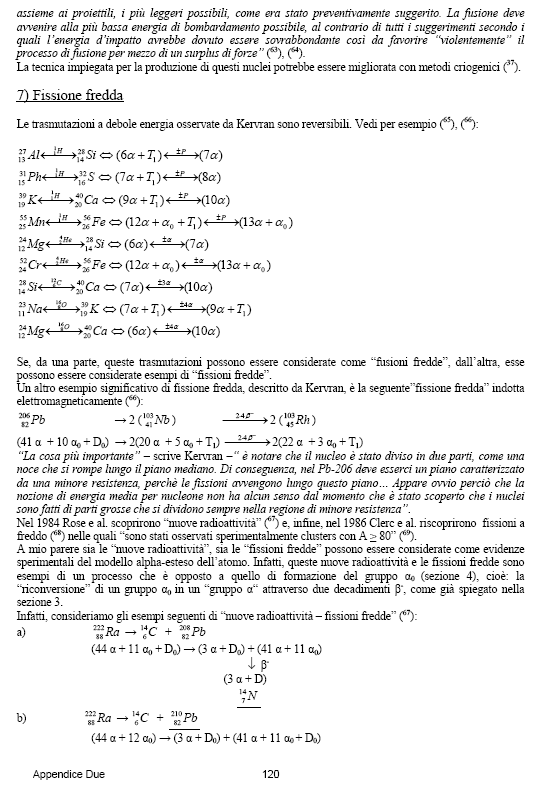
- Fig. 3: Numerosi esempi di trasmutazioni effettuate con successo con risultati particolarmente straordinari, come la comparsa di elementi con nuove proprietà (ferro che non arrugginisce?): 

3

- Fig. 4: Continui riferimenti ad osservazioni sperimentali per testare la validità generale del nuovo modello dell’atomo: 

4

…e molto altro ancora.
Inutile dire che non è un testo per tutti. Ma per chi è interessato ad approfondire questo straordinario modello dell’atomo, che spiega in dettaglio persino come prevedere l’esito delle trasmutazioni a debole energia con una precisione incredibile… l’unica alternativa è fare la stessa ricerca che ho fatto io, ovvero tutti i libri e gli articoli pubblicati da Roberto A. Monti principalmente presso le Edizioni Andromeda, di Bologna.

A chi è interessato a conoscere nei dettagli questo modello, dò la possibilità di acquistare la mia tesi di laurea ad un prezzo irrisorio rispetto a quanto avevo speso io sia in termini di TEMPO sia in termini di DENARO, ovvero oltre 9 mesi di lavoro in “full immersion” e quasi duemila euro in pubblicazioni varie, libri, articoli.
Ritengo che la tesi e il mio libro "La struttura nascosta del mondo"   (seconda edizione, del 2022, con prefazione di Antonella De Ninno) che ne è la versione “divulgativa”,  si integrino molto bene, perchè il libro è di lettura molto più agevole e semplice; ma la versione “completa” che è la tesi è di un altro spessore ed è rivolta a un lettore con molta preparazione (e motivazione alla lettura!) in più. 

Acquista ora!

...e scopri 200 anni di trasmutazioni ufficialmente impossibili!

  • 150 €

Tesi di laurea in ingegneria di Luca Chiesi sulle "reazioni nucleari a debole energia"

Libro cartaceo. 160 pagine. Ha come titolo "Stato dell'arte e applicazioni delle reazioni nucleari a debole energia: il controllo isotopico della qualità" e mostra 2 secoli di studi scientifici sulle "trasmutazioni", ufficialmente impossibili secondo la "scienza ufficiale", e alcune applicazioni esistenti. Il libro "La struttura nascosta del mondo" ne è la versione divulgativa.

Se ti interessa acquistare questo prodotto/servizio, o altri sul mio sito, compila il modulo cliccando sul bottone sottostante. Ti invierò tutte le informazioni necessarie. Grazie!